
NIST SRM 1967a 高纯铂热敏元件(标准品)是一种高纯度(约 99.999 % 质量分数)铂丝,适合用作标准参考热电偶,用于校准温度范围 –196 °C 至约 1700 °C 的jian金属和贵金属热电偶材料摄氏度。 NIST 专着 175 [2] 根据 1990 年国际温标 (ITS-90) [1] 给出了热电偶的标准化热电电压与温度关系。 SRM 1967a 取代了以前的热电标准 SRM 1967。历史.上,SRM 1967 通常被规定为 Pt-67;同样,SRM 1967a 也可称为 Pt-67a。 SRM 1967a 的一个单元由一根直径 0.51 mm 和 1 m 长的铂丝组成。
认证电动势关系:

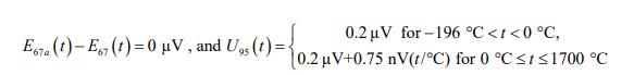
为 NIST SRM 1967a 高纯铂热敏元件(标准品)获得的认证电动势 (emf) 值相对于前 SRM 1967 的平均热电响应表示。对于 0 °C 的参比端,SRM 1967 的电动势之间的认证差异, E67 和 SRM 1967a、E67a 及其扩展不确定度如下: 其中 t 是 1990 年国际温标上的温度。经认证的等效值是 SRM 1967a 样品产生的电动势相对于 SRM 1967 和在扩展不确定性的范围内是不确定的,± U95(t)。不确定性说明: SRM 1967a 批次与其平均值的差异; SRM 1967 批次与其平均值的差异;以及 SRM 1967 和 SRM 1967a [3,4] 的电动势之间差异的再现性。 U95(t) 扩展不确定性表示大约 95 % 的置信区间或 2 的覆盖因子。不确定性界限 ± U95(t) 在 1700 °C 时的值约为 ± 1.48 µV。被测量是铂丝的电动势关系值。这些值在计量上可追溯到电压的 SI 单位。