
NIST SRM 2203氟化钾(标准品)经该盐溶液中氟离子活性认证,可用于氟离子选择电极的标准化。该材料具有分析试剂级纯度,但不应被认为完全不含氯、氟硅酸盐和重金属。在无液体结的电池中使用氟离子选择性电极的溶液电位测量表明,该材料在测得的氟离子选择电极电位的精密度(±0.003 pF单位)内均一。这种材料的化学分析表明,干燥后的最di为99.5%KF。
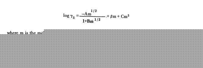
NIST SRM 2203氟化钾(标准品)测定了氟化物的活度系数和25°C下F(=-log Ar-,其中Ag-是氟离子的常规活度)在摩尔浓度m=0.0001~m=2.0范围内的相关值。反页表中可以找到AP-和PF(S)在选定摩尔浓度范围内的相关值。给出的PF(S)值估计为±0.01pF单位。
氟化钾的平均摩尔活度系数(m=0.0001~m=2.0)在25°C下可用方程表示:
