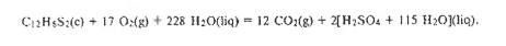
NIST SRM 1655溶液量热法(标准品)由30粒硫蒽组成,经RC-结晶纯化后,测定到BEC的纯度至少为99.7%。SRM 1656适用于厚皮量热仪和解析程序,并用于有机硫醚氧弹量热法的计算。
在氧弹中燃烧这种物质的样品所产生的公顷数量的确定值是:

标准值的不确定度是平均值的两倍于ovcrall标准差。平均值的ovcrall标准差是从McAn与硫蒽化合物的标准差、振动测量和SRM 39I(苯甲酰酸)标准值的THC不确定度计算出来的。
Ccrtificd值用于lhe,在25℃时遵循rcaction:
